Fig. C.1

image

Download original image

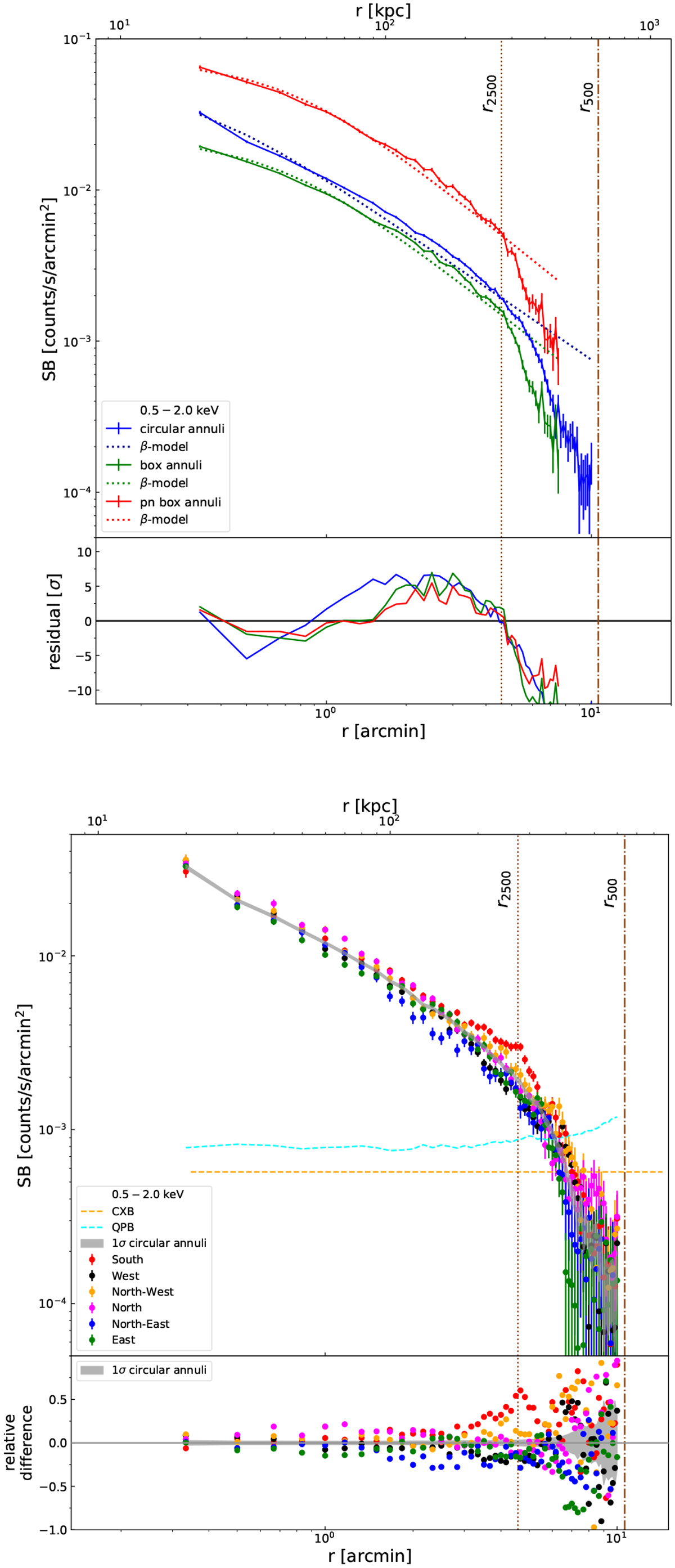
XMM-Newton SX profiles calculated from XMM-Newton data in the energy band 0.5–2.0 keV. Top: The full azimuthal SX profiles. The top panel shows the SX profiles (solid lines) and the corresponding β-model fits (dotted lines) of all XMM-Newton detectors with circular annuli setup (blue) and box annuli setup (green), as well as the pn-only box annuli setup (red). The bottom panel shows the residuals in unit of σ. Bottom: XMM-Newton SX profiles of different sectors top and their relative differences bottom from circular annuli setup. The grey shaded areas are the 1σ confidence regions of the full azimuthal SX.The brown vertical lines indicate the various radii.

Current usage metrics show cumulative count of Article Views (full-text article views including HTML views, PDF and ePub downloads, according to the available data) and Abstracts Views on Vision4Press platform.

Data correspond to usage on the plateform after 2015. The current usage metrics is available 48-96 hours after online publication and is updated daily on week days.

Initial download of the metrics may take a while.