Open Access

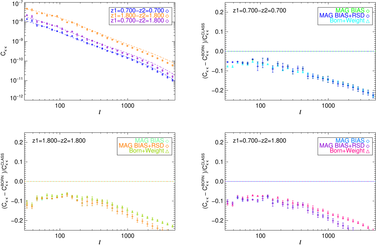
Fig. 10.

image

Download original image

Measurements from the RAYGAL 2500 deg2 light cone (diamonds) and the CLASS predictions (dashed lines). Top left: gravitational convergence auto-spectrum with relativistic corrections (MB and RSDs) in a single shell at z = 0.7 (blue) and z = 1.8 (orange) in ΛCDM cosmology. The cross-spectrum between two shells at z = 0.7 and z = 1.8 is shown in purple. Top right: relative deviation from gravitational convergence angular auto-spectrum (under the Born approximation) at z = 0.7 in ΛCDM cosmology due to non-trivial relativistic effects. The full effects of MB (with s = 0) are shown in green, while the effect of RSDs(+MB) is shown in blue. An estimate of the MB effect using an inverse magnification (|μBorn|−1) weight is shown as light blue triangles (see text for details). Bottom left: Same but for z = 1.8 with MB in light green, RSDs(+MB) in orange, and the |μBorn|−1 weight MB estimate in green. Bottom right: Same but for the z = 0.7 − z = 1.8 cross-spectrum with MB in light blue, RSDs(+MB) in purple, and the |μBorn|−1 weight MB estimate in pink. MB effects are not accounted for in CLASS and cause ∼10−30% deviations. This confirms that the dominant effect is the dilution term of MB related to source averaging (as opposed to angular averaging).

Current usage metrics show cumulative count of Article Views (full-text article views including HTML views, PDF and ePub downloads, according to the available data) and Abstracts Views on Vision4Press platform.

Data correspond to usage on the plateform after 2015. The current usage metrics is available 48-96 hours after online publication and is updated daily on week days.

Initial download of the metrics may take a while.