Open Access

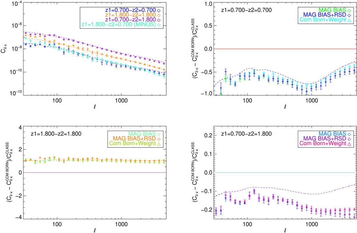
Fig. 12.

image

Download original image

Measurements from the RAYGAL 2500 deg2 light cone (diamonds) and the CLASS predictions (dashed lines). Top left: matter density–gravitational convergence cross-spectra with relativistic corrections (MB+RSDs) in a single shell at z = 0.7 (blue) and z = 1.8 (orange) in ΛCDM cosmology. The (usual) cross-spectrum between two shells at z = 0.7 (density) and z = 1.8 (convergence) is shown in purple, and the (non-trivial) reverse one (cross-spectra between convergence at z = 0.7 and density at z = 1.8) is shown in green. Top right: relative deviation from comoving matter density–Born gravitational convergence cross-spectrum at z = 0.7 in ΛCDM cosmology due to relativistic effects. MB is shown in green, while the effect of RSDs(+MB) is shown in blue. An estimate of the MB effect using an inverse magnification (|μBorn|−1) weight is shown as light blue triangles (see text for details) Bottom left: same but for z = 1.8 with MB in green, RSDs(+MB) in orange, and the |μBorn|−1 weight MB estimate in green. Bottom right: same but for the z = 0.7 (density)-z = 1.8 (convergence) cross-spectrum with MB in light blue, RSDs(+MB) in purple, and the |μBorn|−1 weight MB estimate in pink. Relativistic corrections are between 50 and 100% for the cross-spectrum at a single redshift. Overall, there is a good agreement with CLASS at the 20% level. Here again the overestimation of the power spectrum is related to the dilution term of the MB effect on the convergence.

Current usage metrics show cumulative count of Article Views (full-text article views including HTML views, PDF and ePub downloads, according to the available data) and Abstracts Views on Vision4Press platform.

Data correspond to usage on the plateform after 2015. The current usage metrics is available 48-96 hours after online publication and is updated daily on week days.

Initial download of the metrics may take a while.