Open Access

Fig. 18.

image

Download original image

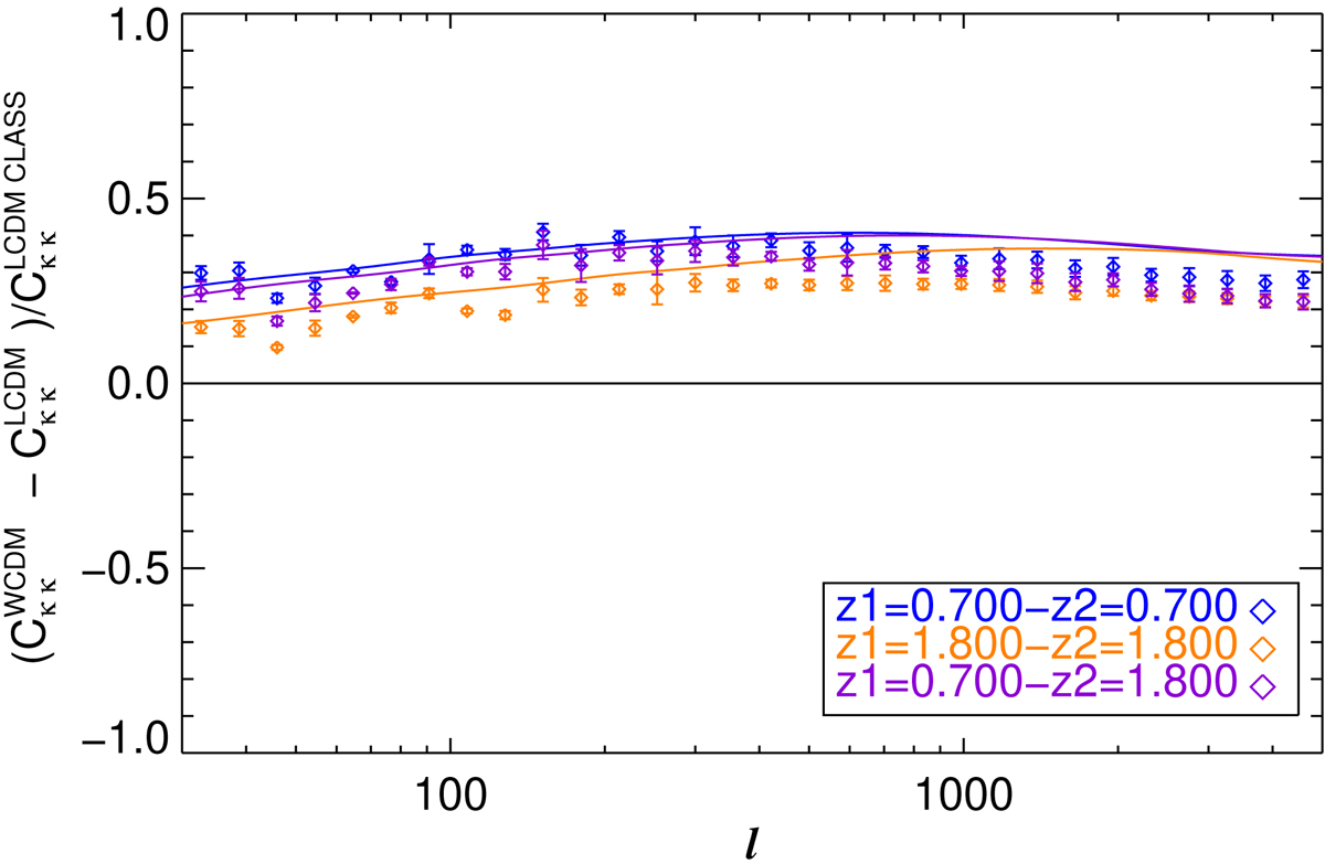
Relative deviations of the convergence spectra between wCDM and ΛCDM spectra (including all relativistic effects) considering one shell at z = 0.7 (blue), one shell at z = 1.8 (orange), and two shells at z = 0.7 and z = 1.8. Diamonds are measurements from the RAYGAL 2500 deg2 light cone, and dashed lines are CLASS predictions. This plot shows the interest of considering all cross-spectra since they are more or less sensitive to cosmology. Even though the two models were calibrated on CMB data, the differences can reach 40%. The agreement with CLASS is good except for ℓ >  500, which shows a discrepancy of ∼10% .

Current usage metrics show cumulative count of Article Views (full-text article views including HTML views, PDF and ePub downloads, according to the available data) and Abstracts Views on Vision4Press platform.

Data correspond to usage on the plateform after 2015. The current usage metrics is available 48-96 hours after online publication and is updated daily on week days.

Initial download of the metrics may take a while.