Open Access

Fig. 6.

image

Download original image

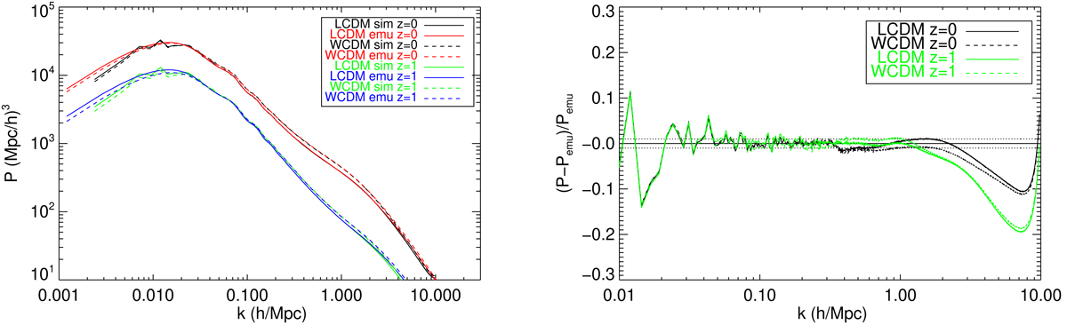
RAYGAL real-space matter power spectra. Left: 3D matter power spectra at z = 0 (top lines in black and red) and z = 1 (bottom lines in green and blue) for ΛCDM (continuous lines) and wCDM (dashed lines) cosmologies. RAYGAL power spectra are shown in black (z = 0) and green (z = 1), and emulator power spectra are shown in red (z = 0) and blue (z = 1). Right: relative deviations between simulations and emulator at z = 0 (black) and z = 1 (green) in ΛCDM (continuous lines) and wCDM (dashed lines) cosmologies. Percent level agreement is shown up to k = 1−2 h Mpc−1, where resolution effects damp the power spectrum. Baryonic effects are also expected to damp the power spectrum near this wavenumber.

Current usage metrics show cumulative count of Article Views (full-text article views including HTML views, PDF and ePub downloads, according to the available data) and Abstracts Views on Vision4Press platform.

Data correspond to usage on the plateform after 2015. The current usage metrics is available 48-96 hours after online publication and is updated daily on week days.

Initial download of the metrics may take a while.