Open Access

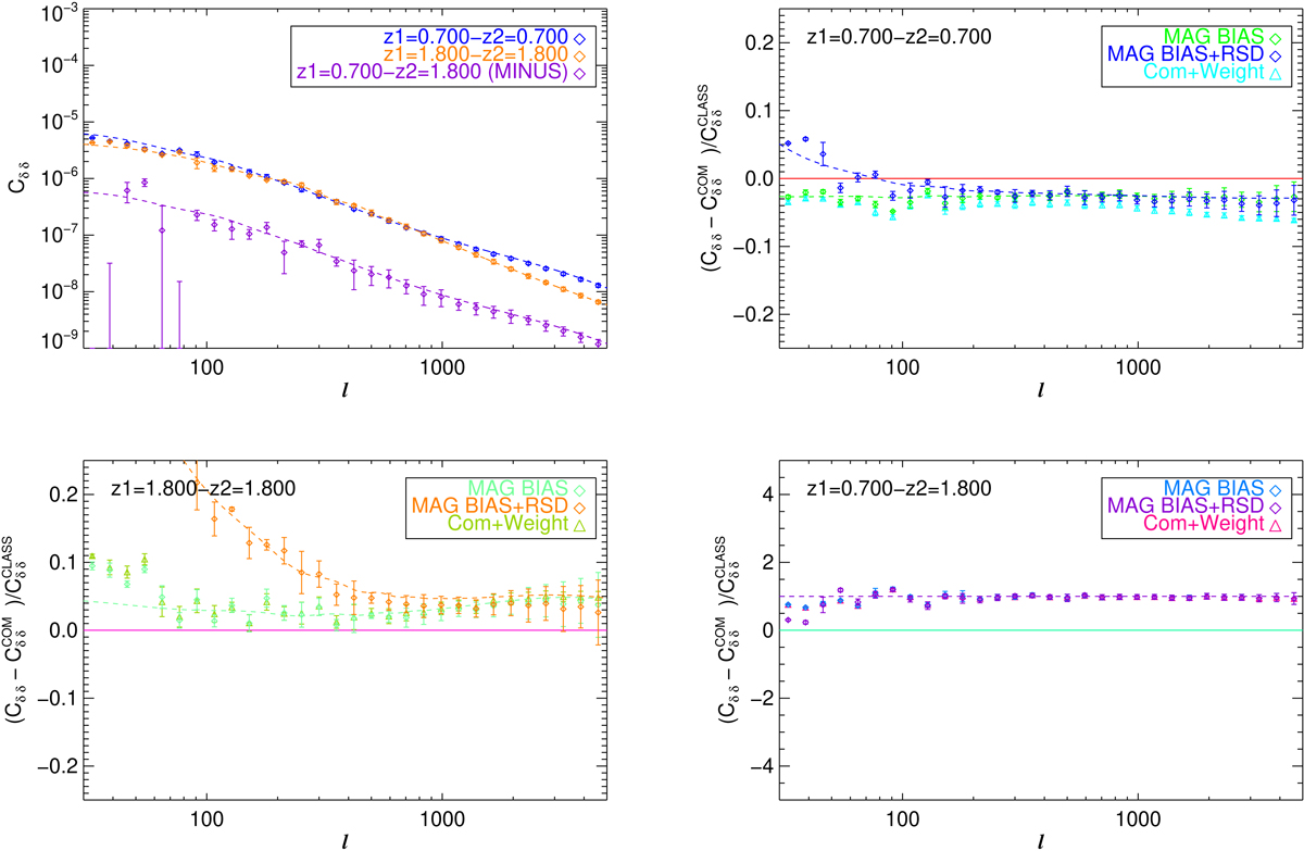
Fig. 8.

image

Download original image

Measurements from the RAYGAL 2500 deg2 light cone (diamonds) and the CLASS predictions (dashed lines). Top left: matter-density angular auto-spectrum with relativistic corrections (MB+RSDs) in a single shell at z = 0.7 (blue) and z = 1.8 (orange) in ΛCDM cosmology. The opposite of the cross-spectrum between two shells at z = 0.7 and z = 1.8 is shown in purple. Top right: relative deviation from comoving matter-density angular auto-spectrum at z = 0.7 in ΛCDM cosmology due to relativistic effects. The effects of the dilution term of MB (i.e. s = 0) on the observed matter-density spectrum is shown in green, and the effect of the dilution term of MB plus RSDs is shown in dark blue. An estimate of the MB effect using an inverse magnification (|μBorn|−1) weight is shown as light blue triangles (see text for details). Bottom left: same but for z = 1.8, with the MB effect in light green, MB+RSDs in orange, and the |μBorn|−1weight MB estimate in green. Bottom right: same but for the z = 0.7 − z = 1.8 cross-spectrum with MB in light blue, MB+RSDs in purple, and the |μBorn|−1weight MB estimate in pink. Overall, there is an impressive agreement with CLASS even though there is a combination of MB and RSD effects. For the cross-spectrum, relativistic effects largely dominate. These matter cross-spectra become sensitive probes of the density-convergence spectra.

Current usage metrics show cumulative count of Article Views (full-text article views including HTML views, PDF and ePub downloads, according to the available data) and Abstracts Views on Vision4Press platform.

Data correspond to usage on the plateform after 2015. The current usage metrics is available 48-96 hours after online publication and is updated daily on week days.

Initial download of the metrics may take a while.