Open Access

Fig. 9.

image

Download original image

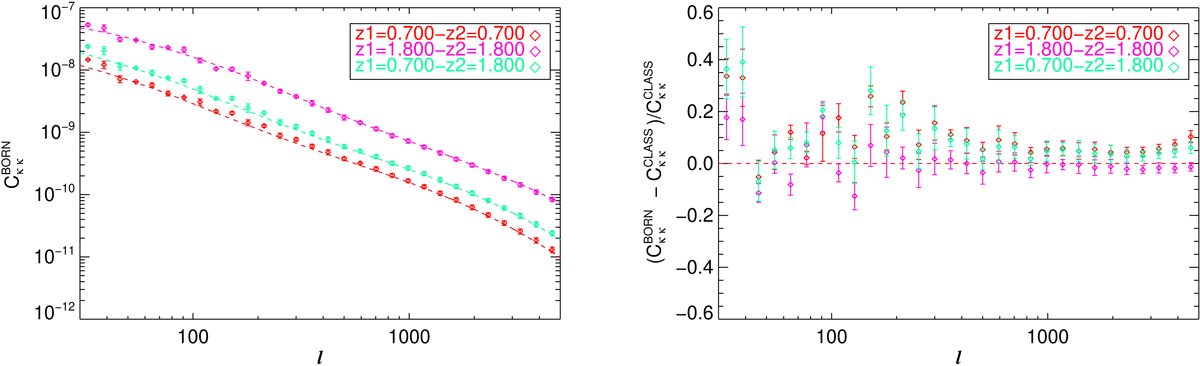
Gravitational convergence angular auto-spectrum in a single shell at z = 0.7 (red) and z = 1.8 (pink) in ΛCDM cosmology assuming the Born approximation. The cross-spectrum between two shells at z = 0.7 and z = 1.8 is shown in green. Left: spectrum from the RAYGAL 2500 deg2 light cone (diamonds with error bars) and spectrum from CLASS (dashed line). Right: relative deviation from the CLASS prediction. Overall, the measured power spectra are in agreement with CLASS predictions within the error bars except at large scales (small ℓ) due to the finite area of the light cone. We also note a shift at the ∼5–10% level at large ℓ and low redshifts, which vanishes at larger redshifts.

Current usage metrics show cumulative count of Article Views (full-text article views including HTML views, PDF and ePub downloads, according to the available data) and Abstracts Views on Vision4Press platform.

Data correspond to usage on the plateform after 2015. The current usage metrics is available 48-96 hours after online publication and is updated daily on week days.

Initial download of the metrics may take a while.