Press Release
Open Access

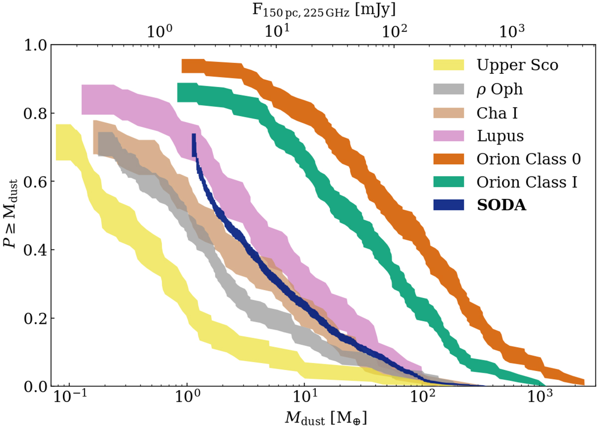
Fig. 6

image

Download original image

Disk mass distributions inferred with the Kaplan-Meier estimator in Orion A and several nearby star-forming regions. SODA (dark blue) versus Class I and Class 0 disks in Orion (Tobin et al. 2020) (orange and green), and disks in Lupus (Ansdell et al. 2016) (purple), Chamaeleon I (Pascucci et al. 2016) (brown), ρ Oph (Williams et al. 2019) (gray), and Upper Sco (Barenfeld et al. 2016) (yellow).

Current usage metrics show cumulative count of Article Views (full-text article views including HTML views, PDF and ePub downloads, according to the available data) and Abstracts Views on Vision4Press platform.

Data correspond to usage on the plateform after 2015. The current usage metrics is available 48-96 hours after online publication and is updated daily on week days.

Initial download of the metrics may take a while.