Free Access

Fig. 2

image

Download original image

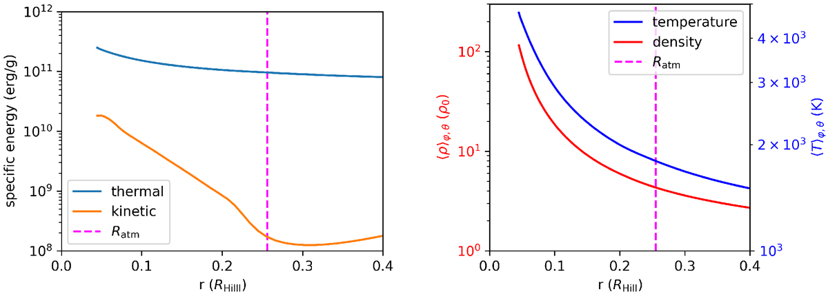
Radial 1D-averaged profiles for M1 simulation. Left: thermal and kinetic specific energy profiles. Right: density and temperature profiles. The dashed magenta vertical line is Ratm as defined in Sect. 2.2. The thermal energy is more than one order of magnitude higher than the kinetic energy, i.e., the atmosphere is pressure supported. Inside Ratm, the kinetic energy is significantly higher than outside. This is because of the azimuthal velocity component: Inside Ratm, the gas rotates around the core.

Current usage metrics show cumulative count of Article Views (full-text article views including HTML views, PDF and ePub downloads, according to the available data) and Abstracts Views on Vision4Press platform.

Data correspond to usage on the plateform after 2015. The current usage metrics is available 48-96 hours after online publication and is updated daily on week days.

Initial download of the metrics may take a while.