Open Access

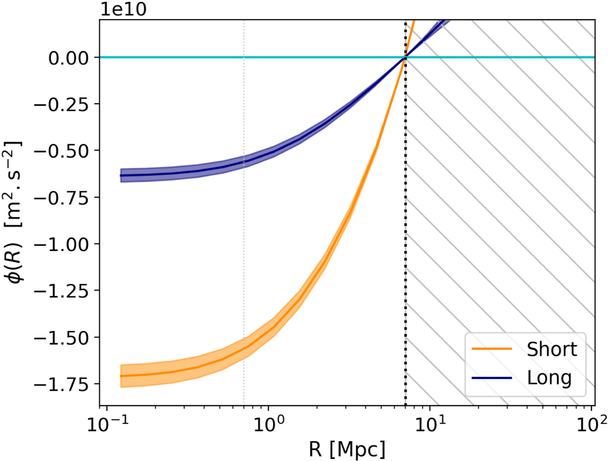
Fig. 5.

image

Download original image

Gravitational potential (Eq. (8)) felt by a test mass inside short (orange) and long filaments (blue). The limit between inside and outside for the computation of the gravitational potential is set to Rlim = rext = 7 Mpc. The outside regions are hatched in grey.

Current usage metrics show cumulative count of Article Views (full-text article views including HTML views, PDF and ePub downloads, according to the available data) and Abstracts Views on Vision4Press platform.

Data correspond to usage on the plateform after 2015. The current usage metrics is available 48-96 hours after online publication and is updated daily on week days.

Initial download of the metrics may take a while.