Free Access

Fig. 3

image

Download original image

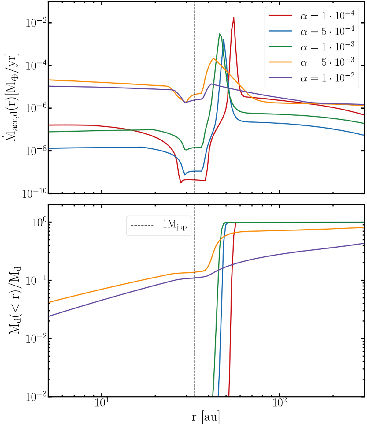
Top panel: local flow rate of the dust mass in M yr−1 as a function of radius for a disk with a Jupiter mass planet at 31 au. For the low α-values 1 × 10−4 (red line), 5 × 10−4 (blue) and 1 × 10−3 (green), we observe that the bump outside the planet location is large enough to hold the dust from drifting toward the star, while for larger α-values 5 × 10−3 (yellow), 10−2 (purple), there is only a weak accumulation outside the planetary gap. Bottom panel: cumulative dust mass contained within a radius r, as function of radius. For α-values 1 × 10−4, 5 × 10−4, 1 × 10−3, roughly all the mass of the disk is inside the bump that is created from the planet. For larger α-values 5 × 10−3, 1 × 10−2, the bump is minimal and not able to hold the dust from drifting.

Current usage metrics show cumulative count of Article Views (full-text article views including HTML views, PDF and ePub downloads, according to the available data) and Abstracts Views on Vision4Press platform.

Data correspond to usage on the plateform after 2015. The current usage metrics is available 48-96 hours after online publication and is updated daily on week days.

Initial download of the metrics may take a while.