Free Access

Fig. 4

image

Download original image

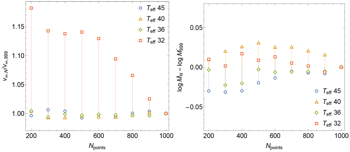
Comparison of the obtained self-consistent wind parameters v and M, employing different numbers of depth points N to numerically solve the equation of motion. Values are expressed as departures from the self-consistent terminal velocity and mass-loss rate when the maximum number of points is allowed for HYDWIND (999).

Current usage metrics show cumulative count of Article Views (full-text article views including HTML views, PDF and ePub downloads, according to the available data) and Abstracts Views on Vision4Press platform.

Data correspond to usage on the plateform after 2015. The current usage metrics is available 48-96 hours after online publication and is updated daily on week days.

Initial download of the metrics may take a while.