Free Access

Fig. C.1

image

Download original image

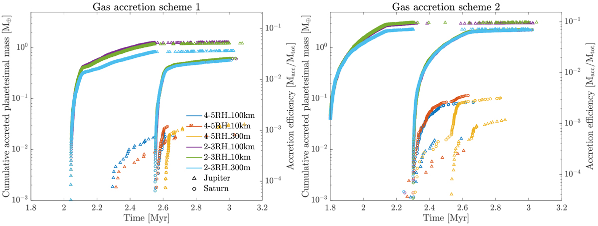
Cumulative accreted planetesimal mass as a function of time for all simulations in scheme 1 (left) and in scheme 2 (right). The corresponding accretion efficiency was calculated by dividing with the total planetesimal mass that formed in the system at the time of disk dissipation. Each scatter point in the plot is one collision event; however, since we performed three simulations per parameter set and show the combined results, the number of collisions in one simulation should be three times smaller than in this plot. The maximum obtained accretion efficiency onto any planet in scheme 1 is 5%, which corresponds to ~1 M. The accretion efficiency is much higher for planetesimals that formed inside the feeding zone, and it does not change significantly with planetesimal size. The maximum accretion efficiency obtained for any planet in scheme 2 is 10%, which corresponds to a mass of ~3 M.

Current usage metrics show cumulative count of Article Views (full-text article views including HTML views, PDF and ePub downloads, according to the available data) and Abstracts Views on Vision4Press platform.

Data correspond to usage on the plateform after 2015. The current usage metrics is available 48-96 hours after online publication and is updated daily on week days.

Initial download of the metrics may take a while.