Free Access

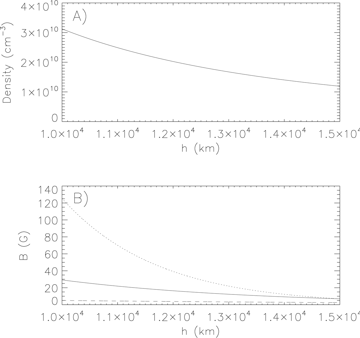
Fig. 3.

image

Download original image

Plasma density and magnetic field profiles obtained by the first fitting step: (A) Plasma density vs. height in Aschwanden’s model of the solar atmosphere. (B) Magnetic field vs. height in three models of the 1 August 2010 zebra with the gyro-harmonic numbers s = 26–30 (full line), s = 10–14 (dotted line), and s = 120–124 (dashed line).

Current usage metrics show cumulative count of Article Views (full-text article views including HTML views, PDF and ePub downloads, according to the available data) and Abstracts Views on Vision4Press platform.

Data correspond to usage on the plateform after 2015. The current usage metrics is available 48-96 hours after online publication and is updated daily on week days.

Initial download of the metrics may take a while.