Free Access

Fig. 6.

image

Download original image

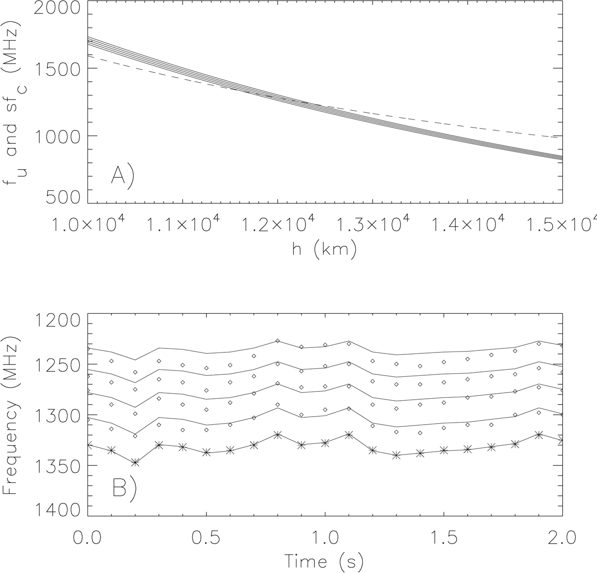
Zebra model with the gyro-harmonic numbers s = 120–124. (A) Profiles of the upper-hybrid (dashed line) and s-harmonic of electron-cyclotron (full lines) frequencies obtained by the first fitting step. (B) Modeled radio spectrum with zebra stripes in the time interval 08:21:58–08:22:00 UT according to the zebra shown in Fig. 1 obtained by the first and second fitting steps.

Current usage metrics show cumulative count of Article Views (full-text article views including HTML views, PDF and ePub downloads, according to the available data) and Abstracts Views on Vision4Press platform.

Data correspond to usage on the plateform after 2015. The current usage metrics is available 48-96 hours after online publication and is updated daily on week days.

Initial download of the metrics may take a while.