Free Access

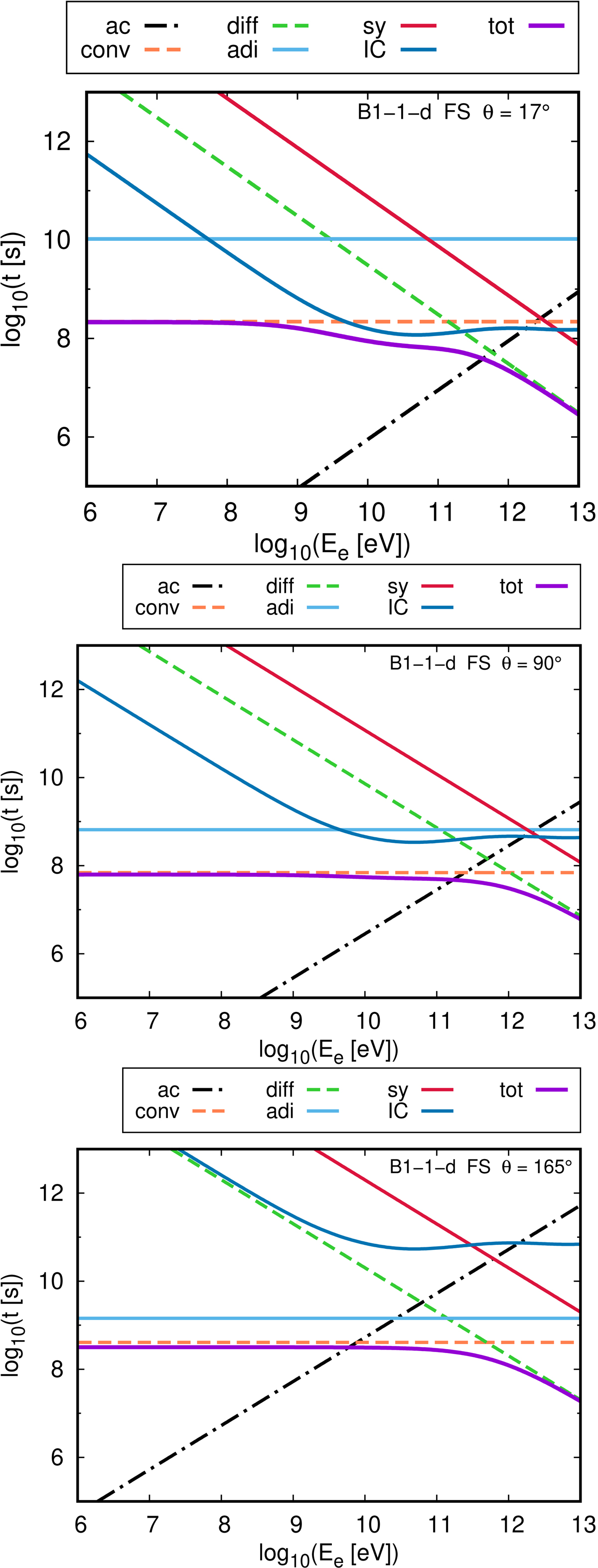
Fig. 4.

image

Download original image

Cooling times for three different positions of electrons for the FS of the system B1–1–d. The IC cooling timescale of electrons takes into account both the stellar and dust photon fields.

Current usage metrics show cumulative count of Article Views (full-text article views including HTML views, PDF and ePub downloads, according to the available data) and Abstracts Views on Vision4Press platform.

Data correspond to usage on the plateform after 2015. The current usage metrics is available 48-96 hours after online publication and is updated daily on week days.

Initial download of the metrics may take a while.