Free Access

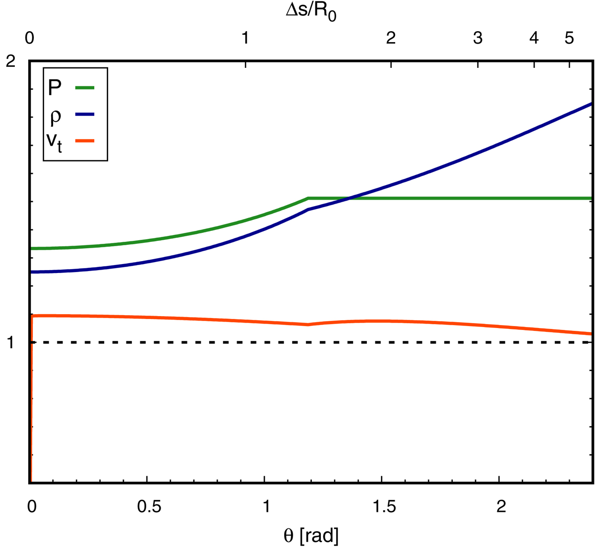
Fig. A.1.

image

Download original image

Ratio between the values given by the hydrodynamic prescription used in this work and the values using Rankine-Hugoniot jump conditions for strong shocks for the RS. The green, blue, and orange lines correspond to the pressure, density, and speed of the shocked fluid, respectively. The black dotted line at unity is marked as a reference.

Current usage metrics show cumulative count of Article Views (full-text article views including HTML views, PDF and ePub downloads, according to the available data) and Abstracts Views on Vision4Press platform.

Data correspond to usage on the plateform after 2015. The current usage metrics is available 48-96 hours after online publication and is updated daily on week days.

Initial download of the metrics may take a while.