Free Access

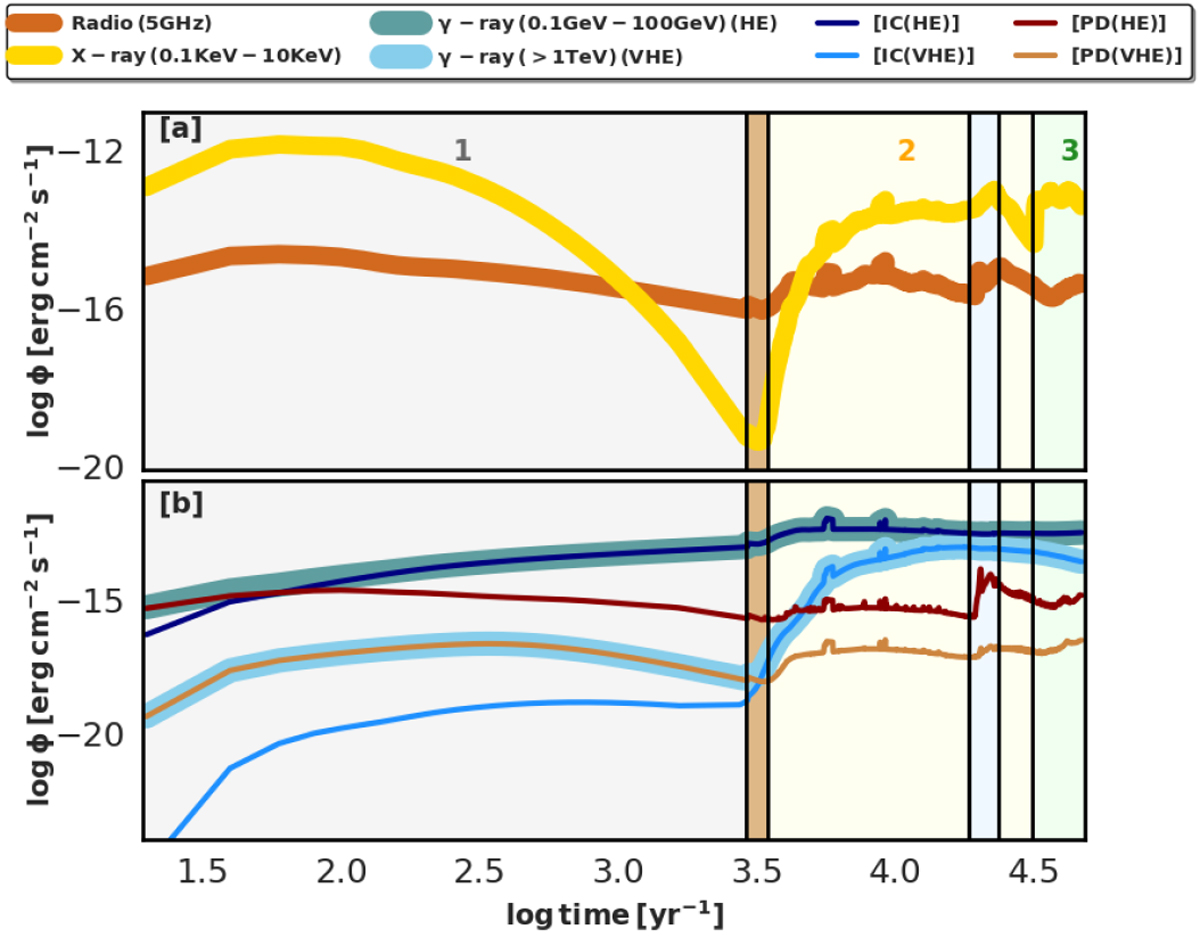
Fig. 10

image

Download original image

Evolution of energy flux (ø) during the lifetime of SNR for synchrotron emission and gamma-ray emission at specific energy ranges. Region 1, region 2, and region 3 denote the free wind, shocked wind, and shocked ISM region, respectively, which are distinguished by different colours. The brown shaded region around 3200 yr denotes the FS transition from the free wind to the shocked wind zone, and the blue shaded region around 20 000 yr denotes the interaction between FS and LBV shell.

Current usage metrics show cumulative count of Article Views (full-text article views including HTML views, PDF and ePub downloads, according to the available data) and Abstracts Views on Vision4Press platform.

Data correspond to usage on the plateform after 2015. The current usage metrics is available 48-96 hours after online publication and is updated daily on week days.

Initial download of the metrics may take a while.