Free Access

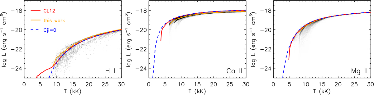
Fig. 1.

image

Download original image

Probability density function of the thin radiative loss function (H I, Ca II, and Mg II) as a function of temperature. Colored lines show relations from the recipe of CL12 (red), the adopted fit of the PDF (yellow), and cases with negligible collisional deexcitation rates (blue, Eq. (4) of CL12).

Current usage metrics show cumulative count of Article Views (full-text article views including HTML views, PDF and ePub downloads, according to the available data) and Abstracts Views on Vision4Press platform.

Data correspond to usage on the plateform after 2015. The current usage metrics is available 48-96 hours after online publication and is updated daily on week days.

Initial download of the metrics may take a while.