Open Access

Fig. 8.

image

Download original image

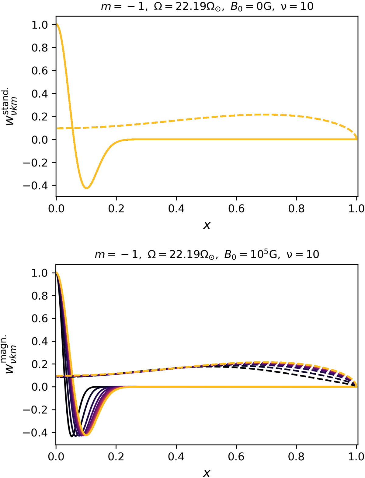
Hough functions (normalised to unity) in the non-magnetic (top) and magnetic (bottom) cases as a function of the horizontal coordinate x at different radii from the radiative-convective interface (dark blue) to the surface (orange) for m = −1, ν = 10, and Ω = 22.19 Ω at B0 = 105 G using the 1.6 Mγ Dor model at ZAMS. Solid lines correspond to gravity-like solutions (k = 0), and dotted lines correspond to Rossby-like solutions (k = −2).

Current usage metrics show cumulative count of Article Views (full-text article views including HTML views, PDF and ePub downloads, according to the available data) and Abstracts Views on Vision4Press platform.

Data correspond to usage on the plateform after 2015. The current usage metrics is available 48-96 hours after online publication and is updated daily on week days.

Initial download of the metrics may take a while.