Open Access

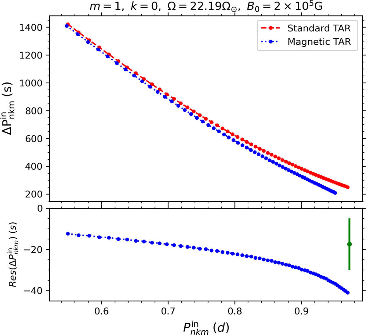
Fig. 9.

image

Download original image

Period spacing pattern in the inertial frame for g modes {k = 0, m = 1} computed using the standard TAR (red line) and the magnetic TAR (blue line) with the 1.6 Mγ Dor model at ZAMS. Bottom panel: the differences with respect to the standard TAR period spacing pattern. The vertical green bar represents an average error of measured period spacings for a sample of 40 γ Dor stars (Van Reeth et al. 2015).

Current usage metrics show cumulative count of Article Views (full-text article views including HTML views, PDF and ePub downloads, according to the available data) and Abstracts Views on Vision4Press platform.

Data correspond to usage on the plateform after 2015. The current usage metrics is available 48-96 hours after online publication and is updated daily on week days.

Initial download of the metrics may take a while.