Free Access

Fig. 7.

image

Download original image

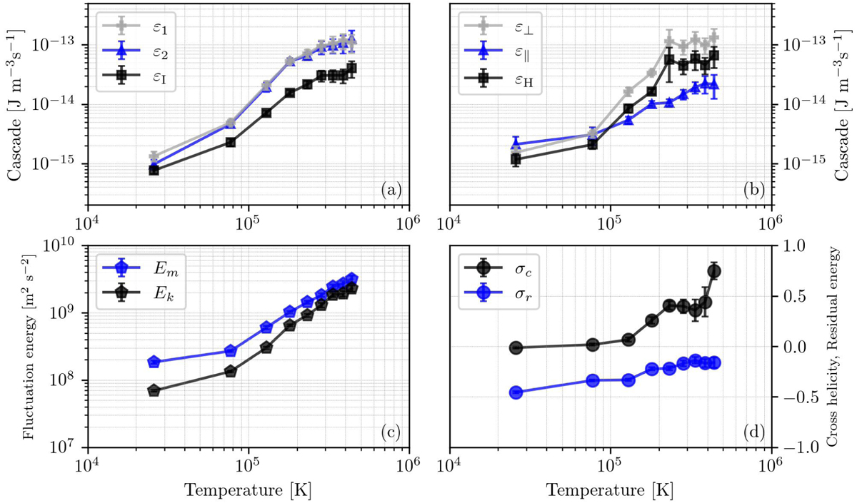
For a given temperature bin the following averages are shown: (a) Components and total isotropic energy cascades rates; (b) components and total anisotropic energy cascades rates; (c) fluctuation in kinetic and magnetic energies; and (d) normalized cross-helicity and normalized residual energy as a function of the temperature.

Current usage metrics show cumulative count of Article Views (full-text article views including HTML views, PDF and ePub downloads, according to the available data) and Abstracts Views on Vision4Press platform.

Data correspond to usage on the plateform after 2015. The current usage metrics is available 48-96 hours after online publication and is updated daily on week days.

Initial download of the metrics may take a while.