Open Access

Fig. 5.

image

Download original image

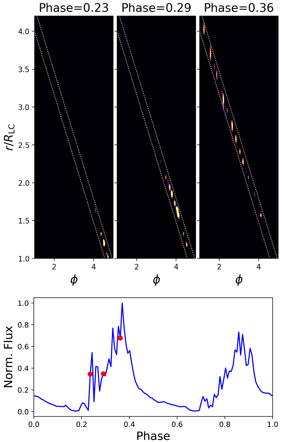
Shining plasmoids and origin of subpulses. Top: map of the synchrotron flux from the current sheet received by the observer at phases 1 (left), 2 (middle), and 3 (right). The oblique white dotted lines are Archimedean spirals encompassing the wind current layer to guide the eye. Bottom: observed pulse profile. The red dots highlight the phases for which the flux maps are displayed.

Current usage metrics show cumulative count of Article Views (full-text article views including HTML views, PDF and ePub downloads, according to the available data) and Abstracts Views on Vision4Press platform.

Data correspond to usage on the plateform after 2015. The current usage metrics is available 48-96 hours after online publication and is updated daily on week days.

Initial download of the metrics may take a while.