Free Access

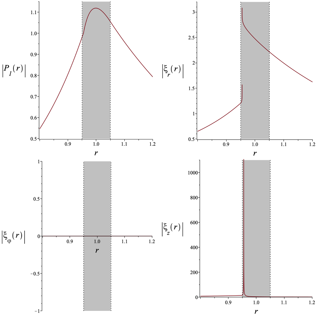
Fig. 10.

image

Download original image

Moduli of the sausage continuum eigenfunctions P1, ξr, ξφ, and ξz, with rC = 0.955R, kzR = 2, and l/R = 0.1. The values of r are normalized to R. The linear transition profile defined by Eqs. (43)–(48) is taken in the inhomogeneous layer, which is represented in gray.

Current usage metrics show cumulative count of Article Views (full-text article views including HTML views, PDF and ePub downloads, according to the available data) and Abstracts Views on Vision4Press platform.

Data correspond to usage on the plateform after 2015. The current usage metrics is available 48-96 hours after online publication and is updated daily on week days.

Initial download of the metrics may take a while.