Open Access

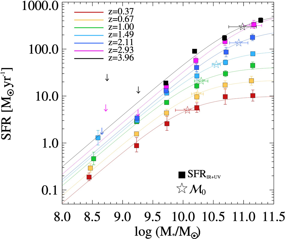
Fig. 1.

image

Download original image

Star-forming MS derived in redshift bins over 0.4 < z < 4.0 (squares) adapted from Delvecchio et al. (2021). Solid lines show fits of Eq. (1) to the data. The bending stellar mass ℳ0 (see text for details) is shown as an empty star for each redshift bin (with its error). We note how it rapidly increases from low- to high redshift.

Current usage metrics show cumulative count of Article Views (full-text article views including HTML views, PDF and ePub downloads, according to the available data) and Abstracts Views on Vision4Press platform.

Data correspond to usage on the plateform after 2015. The current usage metrics is available 48-96 hours after online publication and is updated daily on week days.

Initial download of the metrics may take a while.