Open Access

Fig. 7

image

Download original image

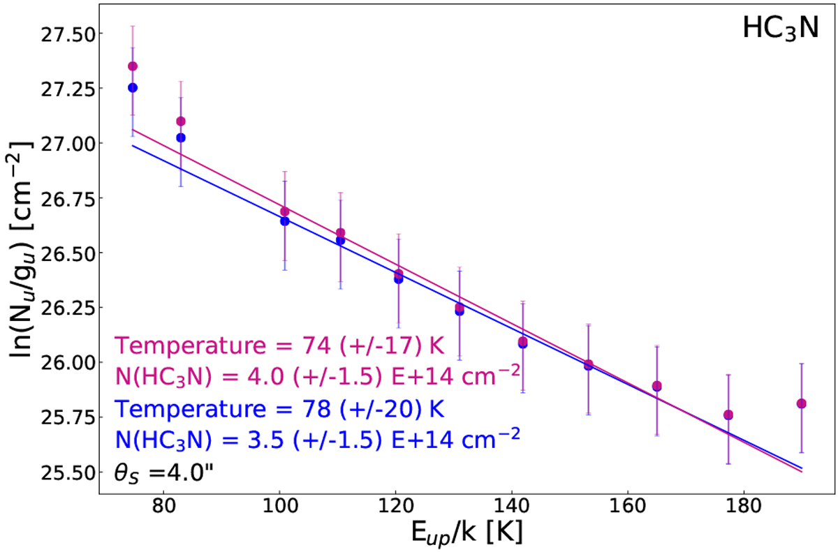
Rotational diagram of HC3N for the broad velocity component towards G328.2551-0.5321. The rotational diagram when we assume that HC3N lines are optically thin is shown in blue. We represent the rotational diagram corrected for the opacity of each line in red. Rotational temperatures and column densities are indicated with the same colour code. The beam dilution was calculated for each transition for a source size of 4″. The error bars represent a lσ- statistical noise plus a 20% calibration error. To calculate the uncertainties on the rotational temperature and the column density, we used the Monte Carlo method and assumed a uniform distribution of the error for each data point.

Current usage metrics show cumulative count of Article Views (full-text article views including HTML views, PDF and ePub downloads, according to the available data) and Abstracts Views on Vision4Press platform.

Data correspond to usage on the plateform after 2015. The current usage metrics is available 48-96 hours after online publication and is updated daily on week days.

Initial download of the metrics may take a while.