Free Access

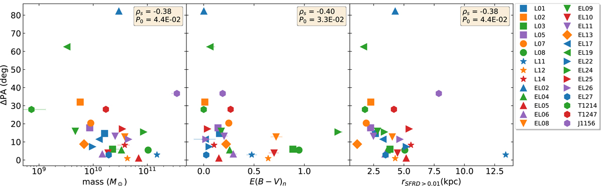
Fig. 19.

image

Download original image

How the difference in the position angles (ΔPA) varies with the stellar mass, the nebular reddening E(B − V)n, and the size of the SF regions. The measured Spearman’s coefficient and p-value between ΔPA and each quantity are displayed in the corresponding panels.

Current usage metrics show cumulative count of Article Views (full-text article views including HTML views, PDF and ePub downloads, according to the available data) and Abstracts Views on Vision4Press platform.

Data correspond to usage on the plateform after 2015. The current usage metrics is available 48-96 hours after online publication and is updated daily on week days.

Initial download of the metrics may take a while.