Free Access

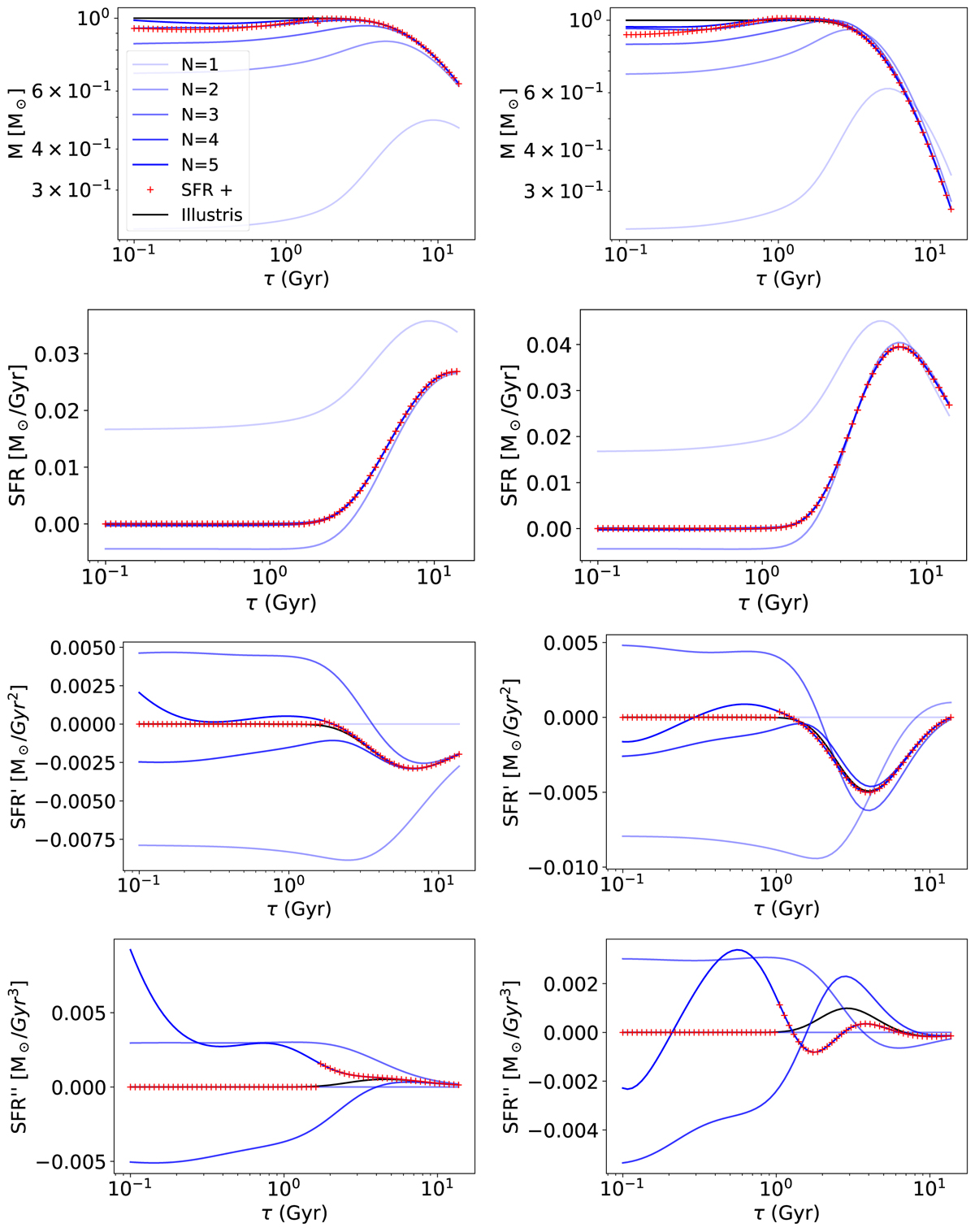
Fig. 4.

image

Download original image

Estimates, from top to bottom, of the total stellar mass formed, the SFR, and its first and second time derivatives, reconstructed at the present time () for the exponential (left) and delayed-τ (right) synthetic SFHs with different timescales, τ, compared with the correct values (solid black lines). Red crosses correspond to the best positive-SFR fit.

Current usage metrics show cumulative count of Article Views (full-text article views including HTML views, PDF and ePub downloads, according to the available data) and Abstracts Views on Vision4Press platform.

Data correspond to usage on the plateform after 2015. The current usage metrics is available 48-96 hours after online publication and is updated daily on week days.

Initial download of the metrics may take a while.