Free Access

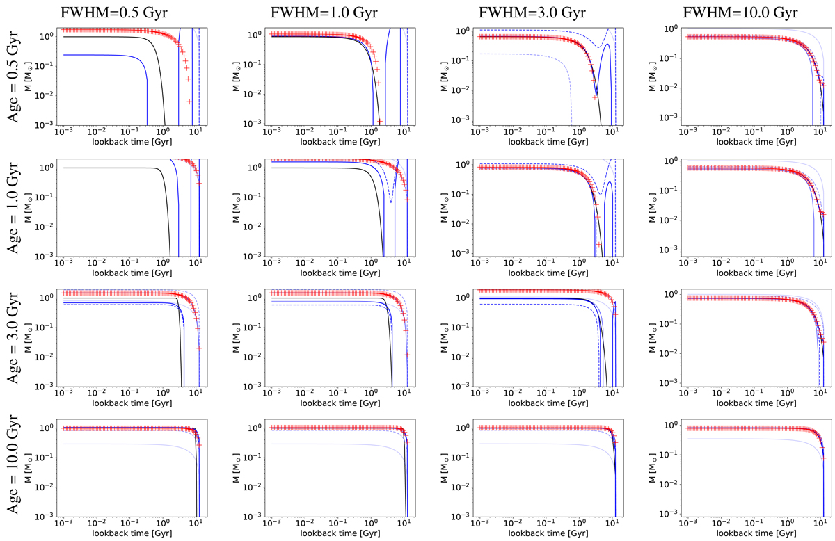
Fig. A.3.

image

Download original image

Mass formation history reconstructed with our parametric model from the luminosities of a synthetic Gaussian SFR with different peak ages (increasing from top to bottom) and FWHMs (increasing from left to right), compared to the input model (solid black line). Colour gradients and line styles indicate the degree of the polynomial reconstruction from N = 5 (solid) to lower degrees (more diffuse lines; solid and dashed for odd and even N). Red crosses correspond to the best positive-SFR fit.

Current usage metrics show cumulative count of Article Views (full-text article views including HTML views, PDF and ePub downloads, according to the available data) and Abstracts Views on Vision4Press platform.

Data correspond to usage on the plateform after 2015. The current usage metrics is available 48-96 hours after online publication and is updated daily on week days.

Initial download of the metrics may take a while.