Free Access

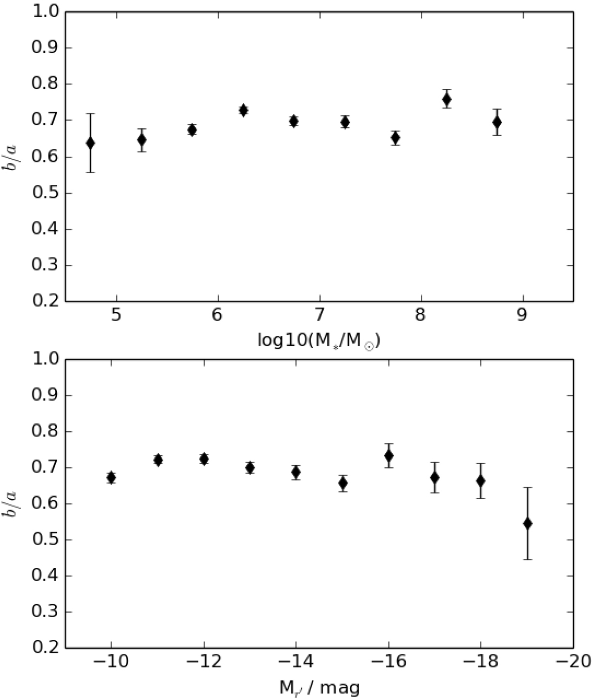
Fig. 12.

image

Download original image

Axis ratio trends. Average axis ratios of the dwarf galaxies in the Fornax cluster in mass (upper panel) and absolute r′-band magnitude (lower panel) bins. The symbols indicate the average values with their uncertainties. The mass bins have a width of 0.6 dex, and the magnitude bins have a width of 1 mag.

Current usage metrics show cumulative count of Article Views (full-text article views including HTML views, PDF and ePub downloads, according to the available data) and Abstracts Views on Vision4Press platform.

Data correspond to usage on the plateform after 2015. The current usage metrics is available 48-96 hours after online publication and is updated daily on week days.

Initial download of the metrics may take a while.