Free Access

Fig. A.9

image

Download original image

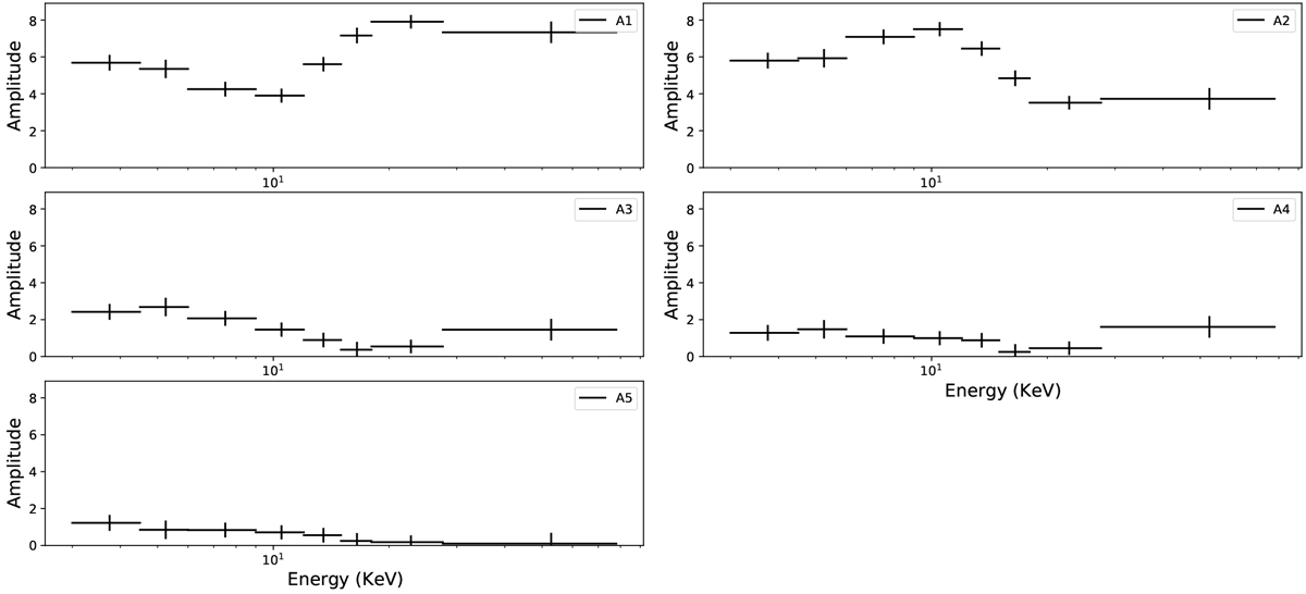
Variation of the harmonic amplitudes for 4U 1901+03 (observation with OBS ID=90502307002 and a luminosity value of ). The boundaries of the energy ranges are [3, 4.5, 6, 9, 12, 15, 18, 27.6, and 78] keV. Only the NuSTAR data are represented by black markers.

Current usage metrics show cumulative count of Article Views (full-text article views including HTML views, PDF and ePub downloads, according to the available data) and Abstracts Views on Vision4Press platform.

Data correspond to usage on the plateform after 2015. The current usage metrics is available 48-96 hours after online publication and is updated daily on week days.

Initial download of the metrics may take a while.