Free Access

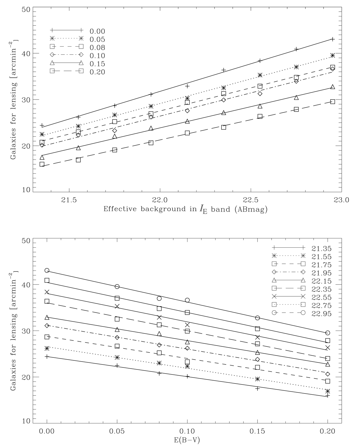
Fig. 23.

image

Download original image

Expected average number density of IE galaxies that satisfy the WL requirements (we notice that the local impact of foreground galaxies or clusters is not considered here). Upper panel: counts as a function of the local background (in mag arcsec−2) for different levels of E(B − V) reddening. Lower panel: counts as a function of reddening for different levels of the background. Lines are linear fits to the simulations.

Current usage metrics show cumulative count of Article Views (full-text article views including HTML views, PDF and ePub downloads, according to the available data) and Abstracts Views on Vision4Press platform.

Data correspond to usage on the plateform after 2015. The current usage metrics is available 48-96 hours after online publication and is updated daily on week days.

Initial download of the metrics may take a while.