Free Access

Fig. 49.

image

Download original image

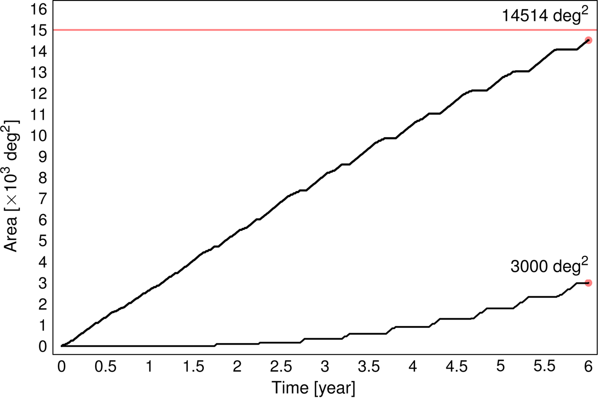
Growth of the area surveyed by the RSD_2021A EWS with time (upper curve), and growth of unallocated time with time (lower curve), here in units of EWS equivalent area (one month corresponds to about 300 deg2).

Current usage metrics show cumulative count of Article Views (full-text article views including HTML views, PDF and ePub downloads, according to the available data) and Abstracts Views on Vision4Press platform.

Data correspond to usage on the plateform after 2015. The current usage metrics is available 48-96 hours after online publication and is updated daily on week days.

Initial download of the metrics may take a while.