Open Access

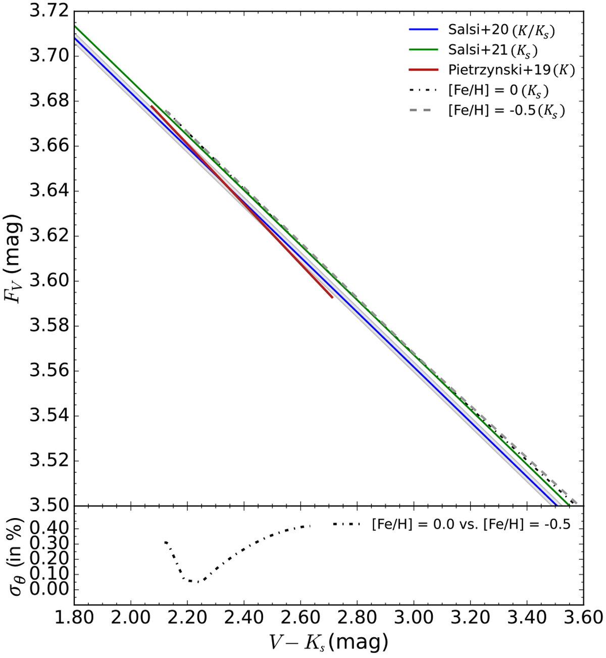
Fig. 6

image

Download original image

Comparison of theoretical SBCRs based on atmosphere models with metallicity of [Fe/H] = 0.0 and [Fe/H] = -0.5, respectively. The empirical SBCRs from Paper I, Paper II, and Pietrzynski et al. (2019) are overplotted for comparison. The difference in the derived angular diameter θLD (in %) using the two theoretical relations of different metallicity is shown in the bottom panel.

Current usage metrics show cumulative count of Article Views (full-text article views including HTML views, PDF and ePub downloads, according to the available data) and Abstracts Views on Vision4Press platform.

Data correspond to usage on the plateform after 2015. The current usage metrics is available 48-96 hours after online publication and is updated daily on week days.

Initial download of the metrics may take a while.