Free Access

Fig. 13

image

Download original image

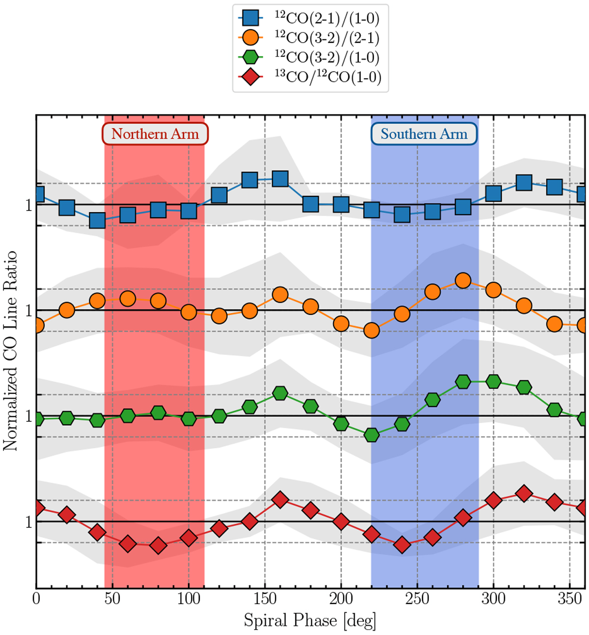
Spiral arm–interarm line ratio variations for three different CO line ratios. We only include sight lines with S/N > 5 for each of the emission lines of the respective line ratio. We use a working resolution of 27 arcsec. We normalise the line ratio by the median value. The horizontal grey dotted lines indicate ±15% deviations from the median value.

Current usage metrics show cumulative count of Article Views (full-text article views including HTML views, PDF and ePub downloads, according to the available data) and Abstracts Views on Vision4Press platform.

Data correspond to usage on the plateform after 2015. The current usage metrics is available 48-96 hours after online publication and is updated daily on week days.

Initial download of the metrics may take a while.