Free Access

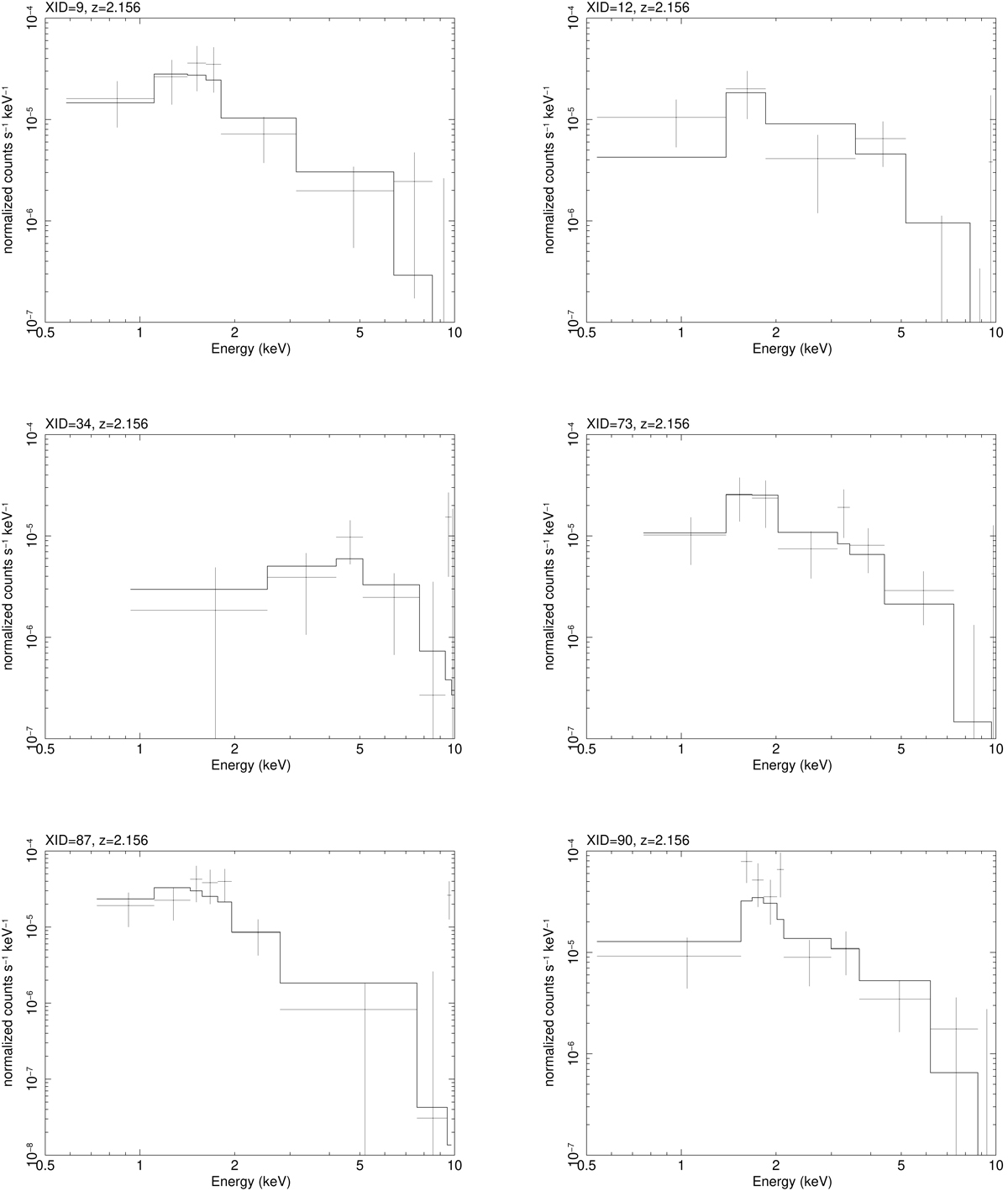
Fig. B.2.

image

Download original image

Folded spectra of the X-ray members of the Spiderweb protocluster with less than 40 net counts in the soft and in the hard band.

Current usage metrics show cumulative count of Article Views (full-text article views including HTML views, PDF and ePub downloads, according to the available data) and Abstracts Views on Vision4Press platform.

Data correspond to usage on the plateform after 2015. The current usage metrics is available 48-96 hours after online publication and is updated daily on week days.

Initial download of the metrics may take a while.