Free Access

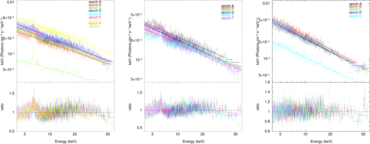
Fig. 1.

image

Download original image

Unfolded spectra of the nine observations for NGC 3227 (left), six observations for NGC 5548 (middle), and five observations for MR 2251−178 (right) fitted with a simple power law. Bottom panels: ratio of the observed spectra to the model. For clarity, we used only FPMA data. The spectra are re-binned for visualization purposes only.

Current usage metrics show cumulative count of Article Views (full-text article views including HTML views, PDF and ePub downloads, according to the available data) and Abstracts Views on Vision4Press platform.

Data correspond to usage on the plateform after 2015. The current usage metrics is available 48-96 hours after online publication and is updated daily on week days.

Initial download of the metrics may take a while.