Free Access

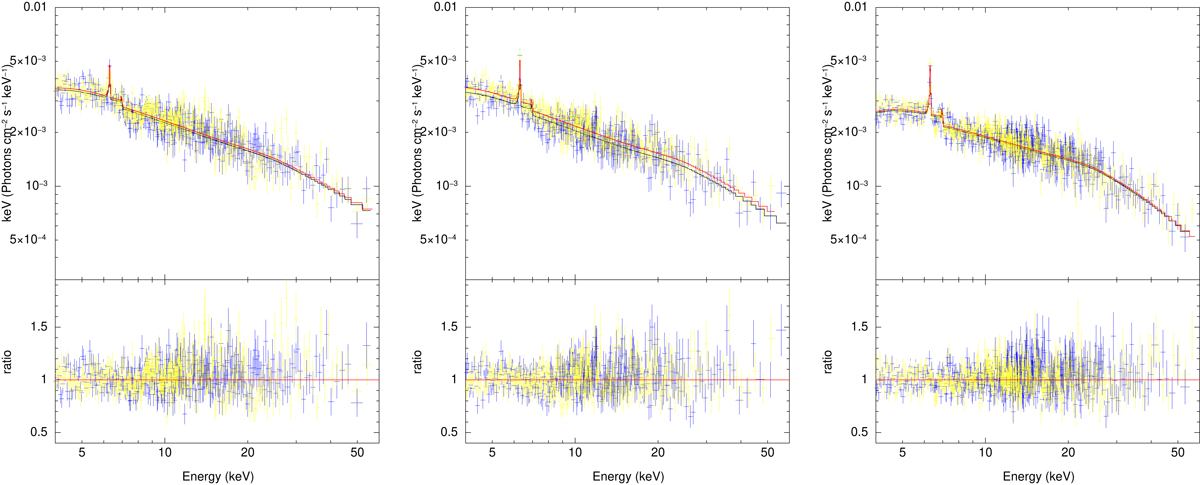
Fig. 13.

image

Download original image

Unfolded spectra with the data-to-model ratio and the const*TBabs*zTBabs(xillverCP) model fits to the spectra of NGC 5548. Here epoch A is shown in the left panel, epoch B is shown in the middle panel, and epoch C is shown in the right panel. Data from FPMA and FPMB are shown in blue and yellow, respectively.

Current usage metrics show cumulative count of Article Views (full-text article views including HTML views, PDF and ePub downloads, according to the available data) and Abstracts Views on Vision4Press platform.

Data correspond to usage on the plateform after 2015. The current usage metrics is available 48-96 hours after online publication and is updated daily on week days.

Initial download of the metrics may take a while.