Free Access

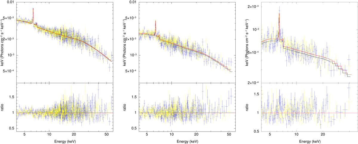
Fig. 5.

image

Download original image

Unfolded spectra and model fits along with the data-to-model ratio for const*TBabs(xillverCP) fits to epoch G (left), epoch H (middle), and epoch I (right) of NGC 3227. For epochs G, H, and I, zTBabs was added to the model. Blue and yellow data points refer to FPMA and FPMB, respectively.

Current usage metrics show cumulative count of Article Views (full-text article views including HTML views, PDF and ePub downloads, according to the available data) and Abstracts Views on Vision4Press platform.

Data correspond to usage on the plateform after 2015. The current usage metrics is available 48-96 hours after online publication and is updated daily on week days.

Initial download of the metrics may take a while.