Open Access

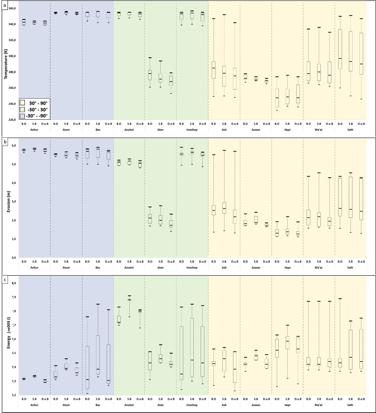
Fig. 13

image

Download original image

Box and whisker plot of the thermal parameters for the different regions of 67P and for the different part of each depression: BD for the bottom of the depression, SB for the slope break, and D.o.B for the outer border of the depression. (a) Temperature (K), (b) total erosion (m), and (c) total energy received from the Sun (109 J/m2). The background color is an indication of the latitude: [−90°; −30°] in blue, [−30°; +30°] in green, and [+30°; +90°] in yellow.

Current usage metrics show cumulative count of Article Views (full-text article views including HTML views, PDF and ePub downloads, according to the available data) and Abstracts Views on Vision4Press platform.

Data correspond to usage on the plateform after 2015. The current usage metrics is available 48-96 hours after online publication and is updated daily on week days.

Initial download of the metrics may take a while.