Open Access

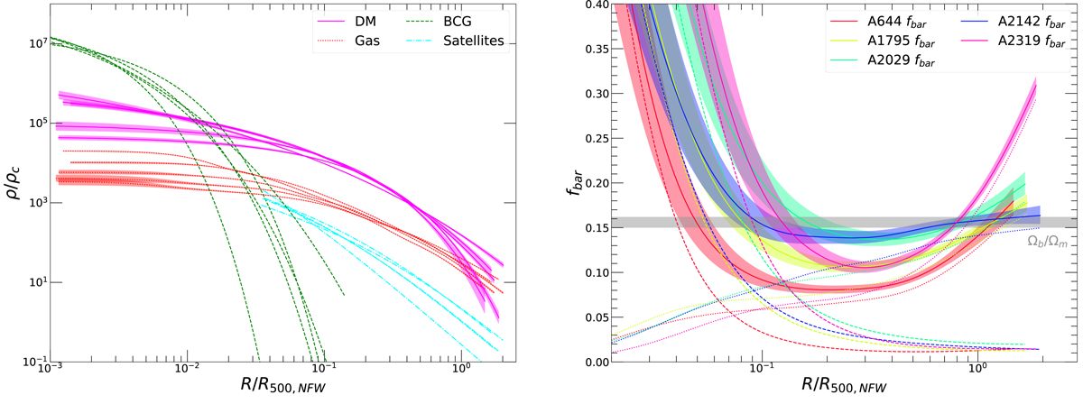
Fig. 6.

image

Download original image

Decomposition of the gravitational field into DM and baryonic components. Left: breakdown of the total differential density profile into baryonic and DM components for the five systems for which stellar mass profiles are available for both the BCG and the satellite galaxies. The baryonic components are split into the stellar mass (BCG, dashed green; satellites, dash-dotted cyan) and the gas mass (dashed red), whereas the fitted Einasto DM profiles are shown as the solid magenta curves. Right: total cumulative baryon fraction as a function of radius. The total baryon fraction and its uncertainty are shown as the solid curves and shaded areas, where the dashed and dotted lines show the relative contribution of gas and stars, respectively.

Current usage metrics show cumulative count of Article Views (full-text article views including HTML views, PDF and ePub downloads, according to the available data) and Abstracts Views on Vision4Press platform.

Data correspond to usage on the plateform after 2015. The current usage metrics is available 48-96 hours after online publication and is updated daily on week days.

Initial download of the metrics may take a while.