Free Access

Fig. 11

image

Download original image

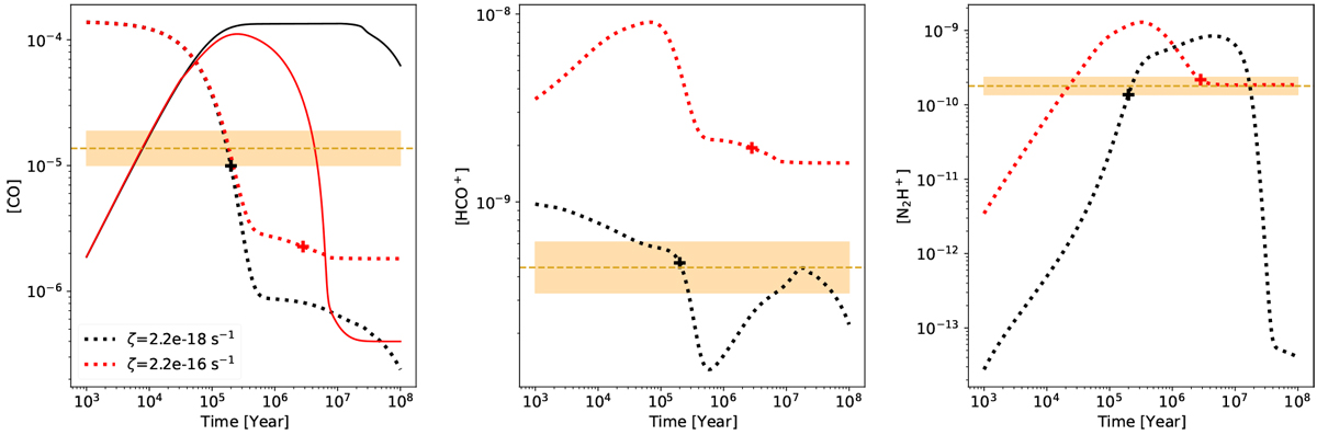
Time evolution of [CO] (gas [dotted] and ice [solid] phases) (left), [HCO+] (middle) and [N2H+] (right) for the overall best fitting model (black lines, ζ = 2.2 × 10−18 s−1) and best ‘late-time’ model (red lines, ζ = 2.2 × 10−16 s−1) for the XR search of the P2 clump, i.e. with nH = 1.0 × 105 cm−3, Av = 20 mag and T = 15 K. The time of the best models along each of these tracks is marked with a ‘+’ symbol. Horizontal dotted lines show the observed values of abundances, with the uncertainties shown by the shaded bands.

Current usage metrics show cumulative count of Article Views (full-text article views including HTML views, PDF and ePub downloads, according to the available data) and Abstracts Views on Vision4Press platform.

Data correspond to usage on the plateform after 2015. The current usage metrics is available 48-96 hours after online publication and is updated daily on week days.

Initial download of the metrics may take a while.