Free Access

Fig. 22

image

Download original image

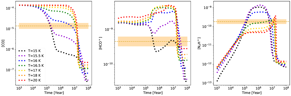
Time evolution of [CO], [HCO+] and [N2H+] for XR conditions for P2, that is nH = 1 × 105 cm−3, Av =20 mag, but with various temperatures from 15 to 20 K. Here, ζ = 1.0 × 10−17 s−1. The horizontal band shows the observed abundances, together with corresponding uncertainties, at P2.

Current usage metrics show cumulative count of Article Views (full-text article views including HTML views, PDF and ePub downloads, according to the available data) and Abstracts Views on Vision4Press platform.

Data correspond to usage on the plateform after 2015. The current usage metrics is available 48-96 hours after online publication and is updated daily on week days.

Initial download of the metrics may take a while.