Free Access

Fig. 23

image

Download original image

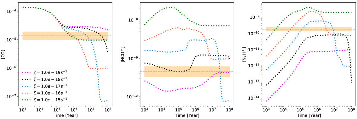
Time evolution of CO, HCO+ and N2H+ abundances in the models with nH = 1 × 105 cm−3, T = 16 K, Av = 100 mag and for different values of ζ. The horizontal band shows the observed abundances together with corresponding uncertainties at P2.

Current usage metrics show cumulative count of Article Views (full-text article views including HTML views, PDF and ePub downloads, according to the available data) and Abstracts Views on Vision4Press platform.

Data correspond to usage on the plateform after 2015. The current usage metrics is available 48-96 hours after online publication and is updated daily on week days.

Initial download of the metrics may take a while.