Free Access

Fig. 8

image

Download original image

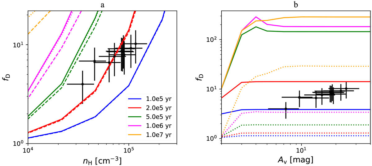
(a): CO depletion factor (fd) versus number density of hydrogen nuclei (nH). The data for each position are shown, along with their uncertainties. Astrochemical models are shown for ages ranging from 105 yr to 107 yr and for ζ = 10−18 s−1 (dotted lines) and 10−17 s−1 (solid lines) and 10−16 s−1 (dashed lines) with other parameters set to be T = 15 K and Av = 20 mag. (b): CO depletion factor (fd) versus visual extinction (Av). The data for each position are shown, along with their uncertainties. Astrochemical models are shown here for nH = 105 cm−3, T = 15 K and ζ = 10−17 s−1 with solid lines (colors represent different times, as in legend of (a)). An equivalent model for nH = 104 cm−3 is shown with dotted lines.

Current usage metrics show cumulative count of Article Views (full-text article views including HTML views, PDF and ePub downloads, according to the available data) and Abstracts Views on Vision4Press platform.

Data correspond to usage on the plateform after 2015. The current usage metrics is available 48-96 hours after online publication and is updated daily on week days.

Initial download of the metrics may take a while.