Free Access

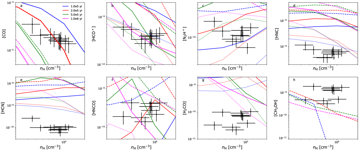
Fig. 9

image

Download original image

Observed abundances of (a) CO, (b) HCO+, (c) N2H+, (d) HNC, (e) HCN, (f) HNCO, (g) H2CO and (h) CH3OH versus n∏. Astrochemical model results are also shown for ζ = 10−18 s−1 (dotted lines), 10−17 s−1 (solid lines) and 10−16 s−1 (dashed lines) with other parameters set to be T = 15 K and Av = 20 mag.

Current usage metrics show cumulative count of Article Views (full-text article views including HTML views, PDF and ePub downloads, according to the available data) and Abstracts Views on Vision4Press platform.

Data correspond to usage on the plateform after 2015. The current usage metrics is available 48-96 hours after online publication and is updated daily on week days.

Initial download of the metrics may take a while.