Open Access

Fig. 5

image

Download original image

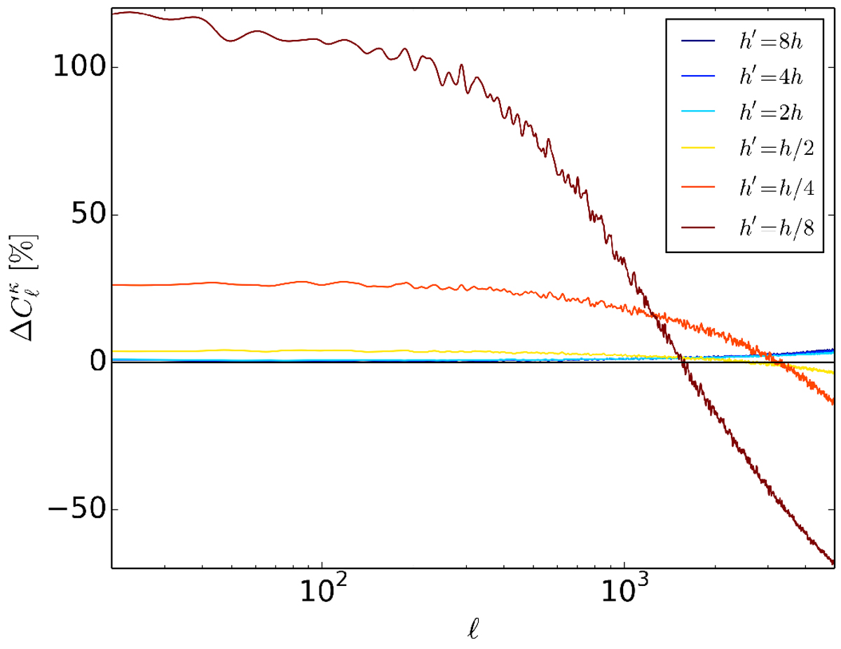
Relative difference on the convergence angular power spectrum depending on the derivation step used in the infinitesimal method (see Sect. 2.3.1) to compute the lensing distortion matrix at z = 1.9, using Healpix with Nside = 4096. Using a larger derivation step considerably biases the estimation of the power spectrum, while smaller steps mostly affect the very small scales. Our choice for h seems ideal as it is stable for ℓ < 103 and should not lead to any large bias at smaller scales.

Current usage metrics show cumulative count of Article Views (full-text article views including HTML views, PDF and ePub downloads, according to the available data) and Abstracts Views on Vision4Press platform.

Data correspond to usage on the plateform after 2015. The current usage metrics is available 48-96 hours after online publication and is updated daily on week days.

Initial download of the metrics may take a while.