Open Access

Fig. 11

image

Download original image

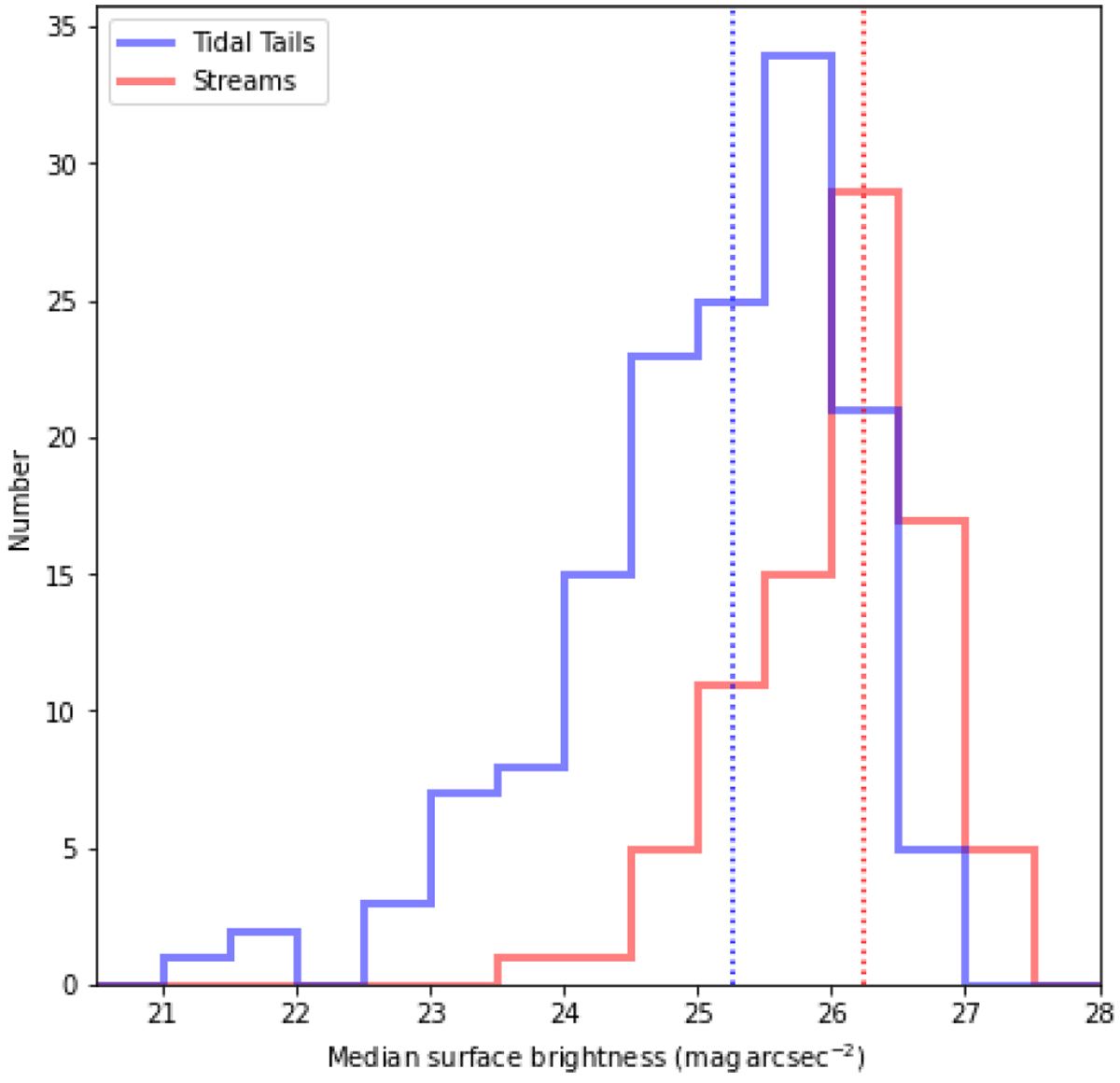
Histogram of the median surface brightness value in magnitudes per square arcsecond for tidal tails (in blue) and streams (in red), in bins of width 0.5 magarcsec−2. The median of each distribution is represented by the dotted lines.

Current usage metrics show cumulative count of Article Views (full-text article views including HTML views, PDF and ePub downloads, according to the available data) and Abstracts Views on Vision4Press platform.

Data correspond to usage on the plateform after 2015. The current usage metrics is available 48-96 hours after online publication and is updated daily on week days.

Initial download of the metrics may take a while.