Open Access

Fig. D.2

image

Download original image

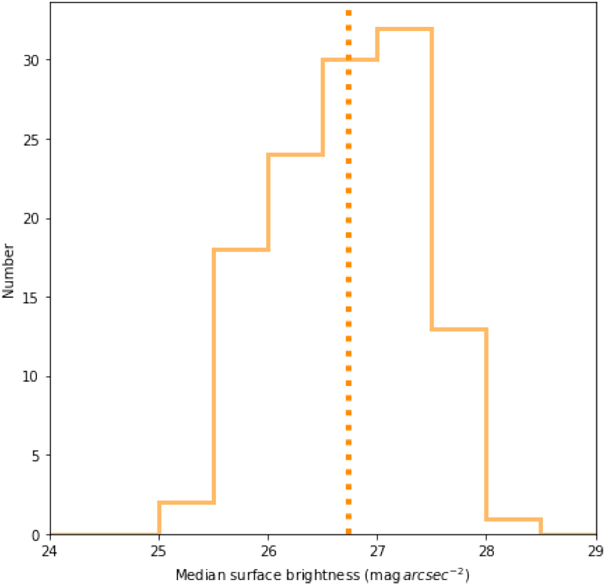
For NGVS only: histogram of the outer median surface brightness values in magnitudes per square arcsecond for halos, in bins of 0.5 mag arcsec−2. The median is represented by the dotted line.

Current usage metrics show cumulative count of Article Views (full-text article views including HTML views, PDF and ePub downloads, according to the available data) and Abstracts Views on Vision4Press platform.

Data correspond to usage on the plateform after 2015. The current usage metrics is available 48-96 hours after online publication and is updated daily on week days.

Initial download of the metrics may take a while.