Open Access

Fig. D.3

image

Download original image

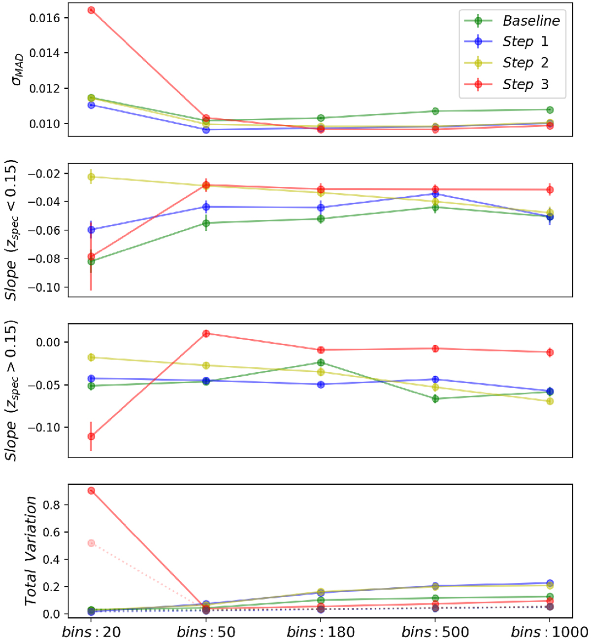
σMAD (Eq. 11), the slopes of the < Δz > - zspec piecewise linear fit (Eq. 9) and the total variation distance between the zphoto and zspec sample distributions (Eq. 10) as a function of the number of bins in the output redshift density estimate (before being extended in step 3). The dotted curves show the total variation distances for the simulated zphoto sample distributions that are expected to have no mode collapse. The baseline method and steps 1 - 3 of our methods are compared using the SDSS data and the network Net_P.

Current usage metrics show cumulative count of Article Views (full-text article views including HTML views, PDF and ePub downloads, according to the available data) and Abstracts Views on Vision4Press platform.

Data correspond to usage on the plateform after 2015. The current usage metrics is available 48-96 hours after online publication and is updated daily on week days.

Initial download of the metrics may take a while.